Anbieter zum Thema
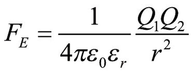
Diese Ladungen lassen sich durch das Coulombsche Gesetz (1) ausdrücken, wonach elektrische Ladungen eine gegenseitige Krafteinwirkung FE ausüben, die durch folgende Gleichung beschrieben wird:


FE = g Δm (2) wobei g die Gravitationskonstante ist. Damit ergibt sich bei Kombination von (1) und (2) und Lösung der Gleichung für die Gesamtwirkung auf das Messergebnis folgende Gleichung:
Die Dissipation von elektrostatischen Ladungen
Ladungen bleiben nicht für immer haften, sie werden mit der Zeit von den Kolben oder Messgütern abgeleitet. Einer der wichtigsten Faktoren hierbei ist die Oberflächenleitfähigkeit des Isoliermaterials, die sich auf die Dissipationsrate elektrostatischer Ladungen auswirkt: Je höher die Oberflächenleitfähigkeit, desto schneller können die elektrostatischen Ladungen abgeleitet werden und demzufolge keinen Einfluss mehr auf das Wägeergebnis nehmen. Die Oberflächenleitfähigkeit hängt in hohem Maße von der Feuchtigkeit und dem Verunreinigungsgrad ab.
Wenn im Winter eine relative Feuchtigkeit von unter 45 Prozent in geheizten Räumen herrscht, ist das Risiko für fehlerhafte Messungen aufgrund von statischer Elektrizität erhöht, weshalb der Bediener stets vorsichtig arbeiten muss, um zu zuverlässigen Ergebnissen zu gelangen.
Elektrostatische Kräfte ermitteln
Analysenwaagen der neuesten XPE-Generation von Mettler-Toledo besitzen integrierte Wägezellen mit elektrostatischer Detektion, die ohne Beeinträchtigung des normalen Messzyklus arbeiten. In der Nähe der geerdeten Waagschale wird eine konzentrische Elektrode angebracht. Während der Standarddetektionsphase wird eine Rechteckschwingung mit einer Amplitude von ±60 V und einer Frequenz von 1,2 Hz erzeugt. Die positive Halbwelle der Rechteckschwingung erzeugt positive Ladungsträger auf der Elektrode. Ist das Wägegut frei von Ladungsträgern, so entstehen gemäß Gleichung (1) keine elektrostatischen Kräfte und die Wägezelle misst das korrekte Gewicht. Sollte die Probe jedoch negativ geladen sein, entsteht eine vorübergehende Anziehungskraft zwischen dem negativ geladenen Wägegut und der Elektrode.
(ID:42388504)

