Biologische Proben sind oft wertvoll und eigentlich immer temperaturempfindlich. Das gilt es schon bei der Probenvorbereitung zu beachten, will man verlässliche Analysenergebnisse erhalten. Eine neue Schwingmühle zeigt, wie dabei kontinuierliche Probenkühlung möglich ist.
Abb. 1. Biologische Proben sind i. d. R temperaturempfindlich. Bei einem Zellaufschluss ist daher eine Probenkühlung zwingend erforderlich.
Bei biochemischen Analysen nimmt die Temperatur einen hohen Stellenwert ein. Damit die Eigenschaften biologischer Proben auch bei der Probenvorbereitung nicht verändert werden, ist eine kontinuierliche Kühlung oder sogar das Einfrieren des Probenmaterials erforderlich. Welche Möglichkeiten der temperaturregulierten Probenvorbereitung von biochemischen Materialien es mit der Schwingmühle MM 500 control von Retsch gibt, zeigt der hier vorgestellte temperaturkontrollierte Zellaufschluss, wie ihn ein globales Pharmaunternehmen durchführt. Die MM 500 control bietet zwei Mahlstationen für verschraubbare Screw-Lock Mahlbecher und eine Schwingfrequenz bis zu 30 Hz. Sie ist die erste Schwingmühle weltweit, die eine kontinuierliche Temperierung der Mahlbecher im Bereich von 100 °C bis –100 °C während der Probenaufbereitung erlaubt. Die Kühlung erfolgt über so genannte Kühlplatten: Die Probengefäße werden auf den oszillierenden Kühlplatten eingespannt und somit während des gesamten Prozesses gekühlt. Die aktuelle Temperatur der Kühlplatten wird kontinuierlich überwacht und im Display angezeigt.
Patentierte Probenkühlung ermöglicht neue Anwendungen
Das neuartige patentierte Kühlkonzept ermöglicht zahlreiche neue Anwendungen und erreicht bei der Zuverlässigkeit von biochemischen Anwendungen ein neues Niveau: die MM 500 control ermöglicht einen sicheren und effizienten Prozessablauf mit einfachem Probenhandling bei kontinuierlicher Kühlung der Probe. Eine Zwischenkühlung während der Probenvorbereitung, z. B. im Kühlschrank oder in einem Eisbad, oder auch das Arbeiten im Kühlraum sind nicht länger erforderlich.
Die Probenkühlung in der MM 500 control lässt sich auf zwei unterschiedliche Arten umsetzen, je nachdem, in welchem Temperaturbereich gekühlt werden soll. Neben der im Folgenden beschriebenen aktiven Kühlung, bietet die MM 500 control auch die Möglichkeit, wie die anderen Retsch Schwingmühlen, Zyklenprogramme mit Kühlpausen zu wählen oder die Frequenz zu verringern, um den Energieeintrag und damit die Wärmeentwicklung im Prozess zu reduzieren.
Konfiguration 1 – Kühlung mit einem Umlaufkühler: Für diese Variante wird ein Umlaufkühler, z. B. ein Chiller, an die Mühle angeschlossen. Bei dieser Konfiguration werden die Kühlplatten der Mühle mit einem flüssigen Kühlmedium (z. B. Wasser, Ethylen, Glykol oder einem anderen Thermofluid) durchströmt. Sie nehmen damit die Temperatur des Kühlmediums an, die sich wiederum auf die Probengefäße überträgt. Die Kühltemperatur wird bei dieser Konfiguration manuell am Umlaufkühler eingestellt. Im Display der MM 500 control lässt sich kontrollieren, welche Temperatur aktuell an den Kühlplatten vorliegt. Je nach Leistungsbereich des Umlaufkühlers und seinen erreichbaren Kühltemperaturen, lassen sich hiermit moderate Kühltemperaturen beispielsweise von –10 °C an der Kühlplatte umsetzen. Die Kühlung mit einem zirkulierenden Kühlmedium bietet sich für biochemische Prozesse mit langen Prozesszeiten und moderaten Kühltemperaturen an. Soll beispielsweise die Temperatur für einen Zellaufschluss durchgängig unter 10 °C gehalten werden, bietet sich das Arbeiten mit einem Umlaufkühler an (siehe Anwendungsbeispiel im zweiten Teil des Artikels).
Konfiguration 2 – Kühlung mit flüssigem Stickstoff: In dieser Konfiguration wird die MM 500 control mit dem Zusatzmodul „cryoPad“ ausgestattet und an einen Stickstofftank angeschlossen. In der Variante 2 durchströmt flüssiger Stickstoff die Kühlplatten der Schwingmühle und kühlt diese auf bis zu –100 °C herunter. Die gewünschte Kühltemperatur wird im Display der Schwingmühle eingestellt und überwacht. Der Wert ist in Schritten von 10 °C zwischen 0 und –100 °C wählbar. Die Temperatur der Kühlplatten überträgt sich effektiv auf die Probengefäße. In dieser Konfiguration ist der Kühlprozess der Kühlplatten vollständig automatisiert, um die gewünschte Temperatur während des gesamten Prozesses aufrecht zu erhalten. Die sehr niedrige Temperatur von flüssigem Stickstoff von –196 °C in Kombination mit der automatisierten Temperaturregelung wirken der Wärmeentwicklung während der Zerkleinerung effektiv entgegen. Die Kühlung mit flüssigem Stickstoff ermöglicht das Einfrieren von Proben oder die Zerkleinerung bereits eingefrorener Proben. Werden wässrige oder fettige Proben eingefroren, sind sie spröde und lassen sich in Kugelmühlen durch Prall und Reibung zu Pulver zerkleinern (s. Beispiel in Abb. 2).
Zubehör für optimale Auslegung einer Anwendung
Die Screw-Lock-Probengefäße lassen sich komfortabel auf den Kühlplatten einsetzen und während der Mahlpausen öffnen, ohne sie aus der Station zu entnehmen, z. B. für eine zwischenzeitliche Überprüfung. Die Probenkühlung ist während des gesamten Prozesses, also auch in den Pausen, gewährleistet. Für die optimale und kontaminationsfreie Verarbeitung eines spezifischen Probenmaterials sind die Screw-Lock-Mahlbecher der MM 500 control in verschiedenen Werkstoffen und Größen von 10 ml bis 125 ml erhältlich.
Für Spezialanwendungen, die einer Kontrolle der Atmosphäre im Probengefäß bedürfen oder eine Überwachung der Zustandsgrößen „Druck“ und „Temperatur“ erfordern, stehen funktionalisierte Deckel für die Screw-Lock-Probengefäße zur Verfügung.
Für eine Probenverarbeitung in Reaktionsgefäßen (z. B. Eppendorf Tubes mit einem Volumen von 1,5 ml oder 2 ml) hat Retsch einen speziellen Adapter aus Aluminium entwickelt, der die gekühlte Verarbeitung von 18 Reaktionsgefäßen ermöglicht.
Anwendung: Temperaturkontrollierter Aufschluss von Hefezellen
Der Zellaufschluss ist ein biochemisches Verfahren, um an Proteine, RNA oder andere biologische Bestandteile einer Zelle zu gelangen. Um die Zellwand aufzubrechen, kommt z. B. das so genannte „Bead-Beating-Verfahren“ zum Einsatz. Die Zellsuspension wird hierbei zusammen mit Glaskügelchen in ein Reaktionsgefäß gegeben und kräftig geschüttelt. Das Schütteln erfolgt üblicherweise mit Vibrationshomogenisatoren oder Schwingmühlen. Die durch die Schwingung induzierten Reibungseffekte scheren die Zellwände auf, sodass die Bestandteile der Zelle analysiert werden können. Die Reibung führt aber gleichzeitig auch zu einem Temperaturanstieg der Probe. Bereits Temperaturen >10 °C können kritisch sein und die Homogenate der Zelle zerstören. Bei einem Zellaufschluss ist demnach eine Probenkühlung zwingend erforderlich.
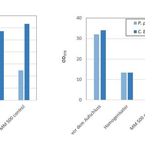
Bei der hier vorgestellten Anwendung eines globalen Pharma- und Diagnostikunternehmens handelt es sich um eine Inprozesskontrolle bei der Enzymproduktion mit den Hefezellen P. pastoris und C. baidinii. Bisher wurde der Zellaufschluss mittels Bead Beating in einem Vibrationshomogenisator mit Taumelbewegung durchgeführt. In diesem Anwendungsbericht wird daher nicht nur der Vorteil der kontinuierlichen Kühlung in der MM 500 control bewertet, sondern auch gezeigt, dass der Zellaufschluss in der Schwingmühle MM 500 control vergleichbar effektiv wie im Vibrationshomogenisator ist.
Stand: 08.12.2025
Es ist für uns eine Selbstverständlichkeit, dass wir verantwortungsvoll mit Ihren personenbezogenen Daten umgehen. Sofern wir personenbezogene Daten von Ihnen erheben, verarbeiten wir diese unter Beachtung der geltenden Datenschutzvorschriften. Detaillierte Informationen finden Sie in unserer Datenschutzerklärung.
Einwilligung in die Verwendung von Daten zu Werbezwecken
Ich bin damit einverstanden, dass die Vogel Communications Group GmbH & Co. KG, Max-Planckstr. 7-9, 97082 Würzburg einschließlich aller mit ihr im Sinne der §§ 15 ff. AktG verbundenen Unternehmen (im weiteren: Vogel Communications Group) meine E-Mail-Adresse für die Zusendung von redaktionellen Newslettern nutzt. Auflistungen der jeweils zugehörigen Unternehmen können hier abgerufen werden.
Der Newsletterinhalt erstreckt sich dabei auf Produkte und Dienstleistungen aller zuvor genannten Unternehmen, darunter beispielsweise Fachzeitschriften und Fachbücher, Veranstaltungen und Messen sowie veranstaltungsbezogene Produkte und Dienstleistungen, Print- und Digital-Mediaangebote und Services wie weitere (redaktionelle) Newsletter, Gewinnspiele, Lead-Kampagnen, Marktforschung im Online- und Offline-Bereich, fachspezifische Webportale und E-Learning-Angebote. Wenn auch meine persönliche Telefonnummer erhoben wurde, darf diese für die Unterbreitung von Angeboten der vorgenannten Produkte und Dienstleistungen der vorgenannten Unternehmen und Marktforschung genutzt werden.
Meine Einwilligung umfasst zudem die Verarbeitung meiner E-Mail-Adresse und Telefonnummer für den Datenabgleich zu Marketingzwecken mit ausgewählten Werbepartnern wie z.B. LinkedIN, Google und Meta. Hierfür darf die Vogel Communications Group die genannten Daten gehasht an Werbepartner übermitteln, die diese Daten dann nutzen, um feststellen zu können, ob ich ebenfalls Mitglied auf den besagten Werbepartnerportalen bin. Die Vogel Communications Group nutzt diese Funktion zu Zwecken des Retargeting (Upselling, Crossselling und Kundenbindung), der Generierung von sog. Lookalike Audiences zur Neukundengewinnung und als Ausschlussgrundlage für laufende Werbekampagnen. Weitere Informationen kann ich dem Abschnitt „Datenabgleich zu Marketingzwecken“ in der Datenschutzerklärung entnehmen.
Falls ich im Internet auf Portalen der Vogel Communications Group einschließlich deren mit ihr im Sinne der §§ 15 ff. AktG verbundenen Unternehmen geschützte Inhalte abrufe, muss ich mich mit weiteren Daten für den Zugang zu diesen Inhalten registrieren. Im Gegenzug für diesen gebührenlosen Zugang zu redaktionellen Inhalten dürfen meine Daten im Sinne dieser Einwilligung für die hier genannten Zwecke verwendet werden. Dies gilt nicht für den Datenabgleich zu Marketingzwecken.
Recht auf Widerruf
Mir ist bewusst, dass ich diese Einwilligung jederzeit für die Zukunft widerrufen kann. Durch meinen Widerruf wird die Rechtmäßigkeit der aufgrund meiner Einwilligung bis zum Widerruf erfolgten Verarbeitung nicht berührt. Um meinen Widerruf zu erklären, kann ich als eine Möglichkeit das unter https://contact.vogel.de abrufbare Kontaktformular nutzen. Sofern ich einzelne von mir abonnierte Newsletter nicht mehr erhalten möchte, kann ich darüber hinaus auch den am Ende eines Newsletters eingebundenen Abmeldelink anklicken. Weitere Informationen zu meinem Widerrufsrecht und dessen Ausübung sowie zu den Folgen meines Widerrufs finde ich in der Datenschutzerklärung, Abschnitt Redaktionelle Newsletter.
Setup und Prozessparameter bei der Anwendung
Folgende Prozessparameter wurden in dem Setup gewählt:
Für den Zellaufschluss wird die MM 500 control an einen laboreigenen Umlaufkühler angeschlossen (Konfiguration 1). Das Kühlmedium ist Wasser.
Für den Zellaufschluss werden zwei 125 ml Screw-Lock-Probengefäße aus rostfreiem Stahl verwendet. Für eine Machbarkeitsstudie wird weiterhin der in Abbildung 6 (online) dargestellte Adapter für 18 Reaktionsgefäße getestet.
Für das Bead Beating werden Glaskugeln mit 0,5 bis 1,0 mm Durchmesser in die Suspension eingebracht.
Es wird eine Schwingfrequenz von 30 Hz über eine Zeit von acht bis zehn Minuten an der Maschine eingestellt und ein Programm mit Kühlungsintervallen gewählt.
Der Zellaufschluss in der MM 500 control erfolgt ebenso effektiv wie in dem zuvor eingesetzten Homogenisator. Es können sowohl die Screw-Lock-Probengefäße als auch Eppendorf-Reaktionsgefäße für den Aufschluss verwendet werden. Der Umstieg vom bislang genutzten Vibrationshomogenisator mit Taumelbewegung auf die Schwingmühle MM 500 control ist ohne Qualitätsverlust möglich.
Prozesssicherheit erhöhen
Die Schwingmühle MM 500 control eignet sich sehr gut für biochemische Anwendungen, bei denen die Temperatur eine wichtige Rolle spielt und eine kontinuierliche Probenkühlung erforderlich ist. Durch ihre Leistungsfähigkeit und einfache Handhabung sowie die patentierte Probenkühlung erhöht sie signifikant die Prozesssicherheit und -effizienz der Anwendung.
Die Kühlung der Proben ist kontinuierlich gewährleistet und die Temperatur der Kühlplatten lässt sich kontinuierlich im Display überwachen, wodurch sich eine Effizienzsteigerung beim Arbeitsablauf und eine erhöhte Prozesssicherheit ergibt. Eine manuelle Zwischenkühlung des Probenmaterials in einem Eisbad während der Probenvorbereitung ist nicht länger erforderlich.
Durch die gleichzeitige Bearbeitung von von bis zu 36 Proben in den zwei Mahlstationen lässt sich Prozesszeit sparen. Die Handhabung der Probe hat sich durch das einfache Befüllen und Entnehmen und die leichte Reinigung des Probengefäßes bzw. Nutzung von Einmalgefäßen in der MM 500 control deutlich verbessert. Die geringere Lautstärke der Schwingmühle bietet einen wertvollen Zugewinn im Laboralltag.