Mehrparameter Mehrparameter-Messsystem zur Messung der Diffusionsspannung
In der Analytik müssen oftmals zahlreiche Parameter in einem Versuch bestimmt werden. So genannte Multiparameter-Systeme leisten hier wertvolle Hilfe. Lesen Sie, wie man mit einem solchen Gerät die Diffusionsspannung in Lösungen misst.
Anbieter zum Thema

Komplexe Messwerterfassungssysteme haben in den letzten Jahren zunehmend auch in der studentischen Ausbildung Einzug gehalten. Wo früher die Studierenden noch die Messwerte an analogen Messgeräten ablesen, manuell registrieren und anschließend rechnerisch und grafisch auswerten mussten, kommen heute moderne Systeme zum Einsatz.
Für die Realisierung einer elektrochemischen Praktikumsaufgabe sollte eine Möglichkeit gefunden werden, unter Einbindung eines Computers alle relevanten Messgrößen gleichzeitig erfassen, registrieren und auswerten zu können. Als Messwerterfassungssystem, das genau mit den Anforderungen korrespondierte, kam das Mehrparameter-Labor-Messsystem Prolab 5000 vom Analysengeräte-Hersteller SI Analytics in Betracht.
Dieses Labormesssystem ist besonders für verschiedenartige Messaufgaben anwendbar, bei denen elektrische Messgrößen, wie Spannung, Strom, Widerstand oder auch Potentialdifferenzen im Labor zu ermitteln sind. In das sehr kompakte und robust konstruierte, für den Laboralltag sehr gut geeignete Gerät werden den Kundenwünschen entsprechende und der Messaufgabe angepasste Module eingebaut. So können dann unter anderem Messgrößen wie pH-Wert bzw. Ionenkonzentrationen mittels ionenselektiver Elektroden (ISE), Redoxpotentiale, Leitfähigkeiten, Temperaturen und andere wie Sauerstoffgehalt oder Salinität gemessen, gespeichert und ausgewertet werden.
Über eine (via Passwort geschützte) Menüsteuerung lassen sich durch Berührung der Displayoberfläche am Gerät verschiedenste Einstellungen und Anzeigen vornehmen, sowie Zusatzeinrichtungen (Probenwechsler, Rührer, Pumpen, Regler u.a.m.) anschließen und den konkreten Messaufgaben entsprechend konfigurieren.
Ein spezielles USB-Kabel stellt die Datenverbindung zum Laborcomputer her und die Kommunikation mit dem Prolab 5000 kann mittels Menüsteuerung programmiert werden, was bei Studierenden im zweiten oder dritten Semester allerdings die Anleitung der Praktikumsassistenten erfordert.
Auch mithilfe des zum Gerät gelieferten PC-Visualisierungsprogramms lassen sich die gesamten Parametereinstellungen, das Starten der Messvorgänge und Datenaufzeichnungen, sowie deren Verfolgung in Echtzeit auf dem Bildschirm des Computers realisieren. Es können, wenn erforderlich, zusätzliche Kalibrierungen vorgenommen oder der Export von Messdaten unkompliziert durchgeführt werden. Dieses Programm ähnelt im Aufbau und der Bedienbarkeit vielen anderen häufig benutzten Oberflächen und ist somit eigenständig von den Studierenden anzuwenden, zumal die Kennzeichnungen der Buttons in vielen Fällen selbsterklärend sind.
Aufgabe: Ionenbeweglichkeiten in Lösungen ermitteln
Im konkreten Fall bestand die Aufgabe darin, einen Versuch für Studierende der Biochemie und der Umweltwissenschaften in das physikalisch-chemische Praktikum zu implementieren, bei dem einerseits die Diffusionsspannungen in Lösungen gemessen werden sollten, ist andererseits die Grenzäquivalentleitfähigkeit des eingesetzten Elektrolyten zu ermitteln. Die unterschiedlich konzentrierten Lösungen werden in einer speziell angefertigten Messapparatur durch ein Diaphragma voneinander [1, 2, 3] getrennt und so eine konvektive Vermischung vermieden.
Da die Ionenbeweglichkeit jedoch nicht behindert wird, kommt es aufgrund der unterschiedlichen Wanderungsgeschwindigkeit der Anionen und Kationen zu einer Ladungstrennung und somit zur Ausbildung einer messbaren Spannung.
Zwischen den beiden Lösungsphasen besteht also eine Zellspannung, die sich mit folgender Gleichung beschreiben lässt (vgl. Lehrbücher der Physikalischen Chemie):

Mithilfe von zwei gleichartigen Elektroden 2. Art (Ag/AgCl-Referenzelektroden), die über einen gemeinsamen Adapter mit BNC-Stecker an das Redoxpotentialmessmodul angeschlossen wurden, lässt sich diese Zellspannung messen. Vor Beginn der Spannungsmessung werden die zwei Ag/AgCl-Elektroden in einem mit Kaliumchloridlösung (0,1 Mol/L) gefüllten separaten Gefäß aufbewahrt. Da sich beide Elektroden in der gleichen, temperierten Lösung befinden, stellt eine so gemessene Spannung die „Asymmetriespannung“ dar, die bisher maximal ±0,5 mV betrug. Sie sollte unter Beachtung des Vorzeichens korrigierend bei der Ermittlung der Zellspannung berücksichtigt werden.
Durch die gleichzeitige Messung der Leitfähigkeit mithilfe eines in die Messapparatur eingebauten Leitfähigkeitsmesssensors ist die Grenzäquivalentleitfähigkeit des eingesetzten Elektrolyten nach dem Quadratwurzelgesetz von Kohlrausch als Ordinatenabschnitt der Auftragung der Äquivalentleitfähigkeiten über der Wurzel der Konzentration zu ermitteln.
Die Grenzäquivalentleitfähigkeiten lassen sich in die Ionenleitfähigkeiten für die Kationen und Anionen zerlegen

und letztlich können daraus mit den Überführungszahlen t+ und t- die Ionenbeweglichkeiten u errechnet werden:

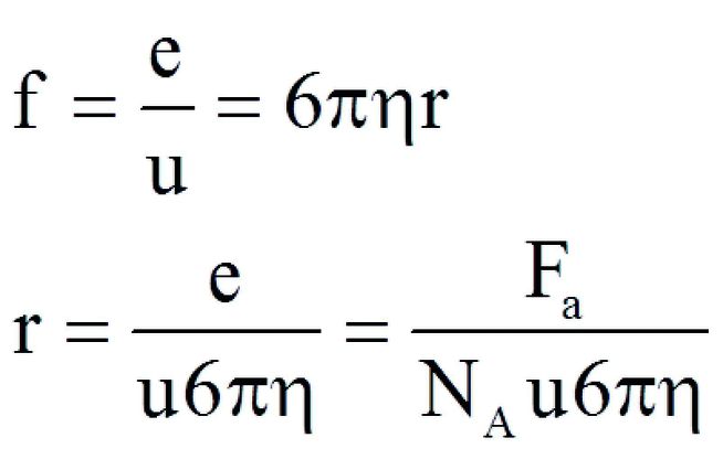
Unter der Annahme einer Kugelform für das Ion gilt das Reibungsgesetz nach Stokes

mit dessen Hilfe auch die hydratisierten Ionenradien abgeschätzt werden können:

Nach einer entsprechenden Programmierung lassen sich alle relevanten Messgrößen wie Messzyklus, Auswahl, die in den Datenlogger zu übertragenden Messdaten oder auch der Mess- und Anzeigebereich in einer zuvor benannten Datei registrieren. Daneben ist mit dem Visualisierungsprogramm auch eine Auswertung und Präsentation möglich.
Für die abschließende, umfangreiche Auswertung und die Erstellung eines Versuchsprotokolls war der Export der Messdaten in einem universellen Datenformat für die Studierenden sehr vorteilhaft. Dies ermöglicht auch die Nutzung sehr spezieller Präsentations- und Auswerteprogramme.
Zusammenfassend kann eingeschätzt werden, dass das Mehrparameter-Labor-Messsystem Prolab 5000 den Anforderungen einer praxisorientierten, modernen und forschungsnahen Praktikumsausbildung von Studierenden in vollem Umfang entspricht.
(ID:43372608)

