Langes Lüften, kurzer Aufenthalt und Maske: Dies sind drei hilfreiche Maßnahmen, um selbst in der Nähe eines Corona-Infizierten das Ansteckungsrisiko zu minimieren. Mit einem mathematischen Modell geben Forscher aus Berlin nun ein Tool an die Hand, um die Wirkung dieser Maßnahmen einzeln und in Kombination abzuschätzen. So lässt sich z. B. die Infektionsgefahr im Büro berechnen.
Abb.1: Die Wirbel leuchten lassen: Mithilfe von Tracer-Partikeln, einer Lichtprojektion und Hochgeschwindigkeitskameras werden am Hermann-Rietschel-Institut Luftströmungen und Partikelausbreitungen in Innenräumen vermessen. Damit lassen sich z. B. Modelle für das Infektionsrisiko in Innenräumen erstellen.
(Bild: Hermann-Rietschel-Institut / TU Berlin)
Berlin – Es war ein Auf und Ab mit Corona: Beschränkungen, Lockerungen – Familienfeiern, Isolation – Lieferdienst, Restaurantbesuch. Nach zwei Jahren haben wir es mit Impfungen und Hygienekonzepten sowie einer zwar hochansteckenden, aber anscheinend weniger gefährlichen Virusvariante geschafft, wieder größtenteils in den Alltag zurückzukehren: Trotz hoher Inzidenzen bleiben Kinos geöffnet und Veranstaltungen dürfen wieder Besucher empfangen.
Wichtige Fragen sind jedoch offengeblieben: Welche Viruslasten führen in der Praxis tatsächlich zu Ausbrüchen? Wie kann man die Wirkungen der verschiedenen Hygienemaßnahmen in einem einfachen mathematischen Modell quantifizieren? Und welche allgemeinen Erkenntnisse lassen sich daraus gewinnen, unabhängig von den konkreten Eigenschaften des Virus?
Bildergalerie
Corona-Ausbrüche – manchmal wie Gold für die Infektionsforschung
Als Ausbruch gelten alle Infektionsgeschehen, bei denen eine Person mehr als einen weiteren Menschen ansteckt. „Gut dokumentierte Ausbrüche sind für uns wie Gold. Sie sind rar und gleichzeitig extrem wertvoll“, sagt Prof. Martin Kriegel, Leiter des Hermann-Rietschel-Instituts. Er ist der Erstautor einer aktuellen Studie, in der Wissenschaftler ein vereinfachtes Risikomodell entwickelt haben, um in der Corona-Pandemie praktische und evidenzbasierte Empfehlungen für das Gebäude- und Veranstaltungsmanagement geben zu können. Das Modell basiert auf einem bereits validierten Infektionsdosismodell, der Auswertung von 25 dokumentierten Ausbruchsgeschehen und neuen mathematischen Berechnungen.
Die untersuchten Fälle stammen aus aller Welt, etwa aus Korea, China, Hawaii, Israel oder Frankreich. Aber auch ein Ausbruch bei einem deutschen Fleischkonzern ist dabei sowie mehrere besonders gut dokumentierte Ausbrüche in einer Hamburger Schule und bei Chorproben in Berlin. Über die Bestimmung der Virus-DNA bei den Infizierten wurde hier genau festgestellt, wer wen angesteckt hatte.
Ausbruchsgeschehen vergleichen ist wie Tatortarbeit
Auswertung und Vergleich der 25 Ausbrüche ermöglichten allgemeine Schlussfolgerungen und lieferten Hinweise darauf, welche Daten wirklich wichtig für die Dokumentation eines Ausbruchs sind, um schnell ein gutes Bild der Infektionsdynamik zu bekommen. Dazu zählen etwa eine verlässliche Zahl aller beim Ausbruch Infizierten, die genaue Zahl der Anwesenden sowie Informationen darüber, wer sich wie lange an welchen Orten befand und was Infizierte und Infektiöse genau getan haben. Hinzu kommen Informationen zur Belüftungssituation. „Das ist eigentlich wie bei der Tatortarbeit“, vergleicht Studienleiter Kriegel. „Je schneller nach einem Ausbruch die Aufnahme dieser Daten erfolgen kann, umso besser erinnern sich die Beteiligten an die Umstände.“ Doch auch mit rudimentären Angaben ließen sich Ausbrüche noch unter Zuhilfenahme von Erfahrungswerten relativ gut rekonstruieren und über statistische Auswertungen verarbeiten.
Risikovergleich für Alltagsszenarien
Ein Ergebnis der vereinfachten Berechnungen der Forscher ist ein Risiko-Vergleich von bestimmten Alltagssituationen, der so für alle Arten von Viren gilt, die sich hauptsächlich über Aerosole verbreiten (s. Abb. 2).
Abb.2: Vergleich des Risikofaktors xr aus dem vereinfachten Risikomodell für verschiedene Alltagssituationen. Die Aufenthaltsdauern variieren hier – so wird jeweils ein ganzer Arbeits- oder Schultag angenommen, ein Kino- oder Restaurantbesuch entsprechend kürzer. Als Referenzwert gilt xr = 1 für einen halbstündigen Aufenthalt in einem Supermarkt mit Maske. Der Wert von xr ist unabhängig von der jeweiligen Virusvariante
(Bild: Hermann-Rietschel-Institut / TU Berlin)
Weit oben rangieren dabei Aufenthalte in Büros und Schulen: Hier ist das Ansteckungsrisiko vergleichsweise hoch. Mit einem nur geringen Risiko behaftet sind hingegen Theater- und Kinobesuche.
Die oft diskutierten Restaurantbesuche bergen nur ein mittleres Risiko für einen Ausbruch mit mehr als einem Infizierten. „Trotzdem ist dort die Ansteckungsgefahr relativ hoch, weil alle sprechen und niemand am Platz Masken trägt“, erklärt Kriegel. Die Aufenthaltszeit mache hier den Unterschied – denn niemand sitzt so lange im Restaurant, wie ein normaler Arbeitstag im Büro dauert.
Faktor Zeit ist mitentscheidend, ob man sich ansteckt
Dass der Faktor Zeit bei den Risikobetrachtungen wichtig ist, zeigt auch eine Übersicht über die Effektivität verschiedener nicht-medizinischer Präventionsmaßnahmen und ihrer Kombinationen (s. Abb. 3).
Da man bei der Berechnung der gesamten Risikoreduktion die Beiträge der einzelnen Schutzkomponenten miteinander multiplizieren muss, kann z. B. eine halbierte Aufenthaltszeit die Schutzwirkung durch Lüften und Maske tragen noch einmal verdoppeln. „Während wir bei Chemieunfällen oder radioaktiver Strahlung intuitiv wissen, dass man sich nicht zu lange in einem Gefahrenbereich aufhalten darf, wird dies bei Infektionsgefahren häufig vergessen“, sagt Kriegel.
Die Dosis entscheidet über das Infektionsrisiko
Aus diesem Grund ist auch die gemessene CO2-Konzentration in einem Raum allein nur bedingt für die Beurteilung des Infektionsrisikos geeignet. Zwar ist der Gehalt an Kohlendioxid ein gutes Maß dafür, wann gelüftet werden sollte – es gibt jedoch keinen „sicheren CO2-Grenzwert“, ab dem keine Infektionen mehr stattfinden würden. Denn eine infektiöse Person im Raum emittiert permanent virenbelastete Aerosole und die exponierten Personen atmen diese andauernd ein. „Wir schlagen daher eine CO2-Dosis für die Risikobewertung vor, die zusätzlich zur CO2-Konzentration auch die Zeitspanne beinhaltet, in der man dieser Konzentration ausgesetzt ist“, sagt Kriegel.
Stand: 08.12.2025
Es ist für uns eine Selbstverständlichkeit, dass wir verantwortungsvoll mit Ihren personenbezogenen Daten umgehen. Sofern wir personenbezogene Daten von Ihnen erheben, verarbeiten wir diese unter Beachtung der geltenden Datenschutzvorschriften. Detaillierte Informationen finden Sie in unserer Datenschutzerklärung.
Einwilligung in die Verwendung von Daten zu Werbezwecken
Ich bin damit einverstanden, dass die Vogel Communications Group GmbH & Co. KG, Max-Planckstr. 7-9, 97082 Würzburg einschließlich aller mit ihr im Sinne der §§ 15 ff. AktG verbundenen Unternehmen (im weiteren: Vogel Communications Group) meine E-Mail-Adresse für die Zusendung von redaktionellen Newslettern nutzt. Auflistungen der jeweils zugehörigen Unternehmen können hier abgerufen werden.
Der Newsletterinhalt erstreckt sich dabei auf Produkte und Dienstleistungen aller zuvor genannten Unternehmen, darunter beispielsweise Fachzeitschriften und Fachbücher, Veranstaltungen und Messen sowie veranstaltungsbezogene Produkte und Dienstleistungen, Print- und Digital-Mediaangebote und Services wie weitere (redaktionelle) Newsletter, Gewinnspiele, Lead-Kampagnen, Marktforschung im Online- und Offline-Bereich, fachspezifische Webportale und E-Learning-Angebote. Wenn auch meine persönliche Telefonnummer erhoben wurde, darf diese für die Unterbreitung von Angeboten der vorgenannten Produkte und Dienstleistungen der vorgenannten Unternehmen und Marktforschung genutzt werden.
Meine Einwilligung umfasst zudem die Verarbeitung meiner E-Mail-Adresse und Telefonnummer für den Datenabgleich zu Marketingzwecken mit ausgewählten Werbepartnern wie z.B. LinkedIN, Google und Meta. Hierfür darf die Vogel Communications Group die genannten Daten gehasht an Werbepartner übermitteln, die diese Daten dann nutzen, um feststellen zu können, ob ich ebenfalls Mitglied auf den besagten Werbepartnerportalen bin. Die Vogel Communications Group nutzt diese Funktion zu Zwecken des Retargeting (Upselling, Crossselling und Kundenbindung), der Generierung von sog. Lookalike Audiences zur Neukundengewinnung und als Ausschlussgrundlage für laufende Werbekampagnen. Weitere Informationen kann ich dem Abschnitt „Datenabgleich zu Marketingzwecken“ in der Datenschutzerklärung entnehmen.
Falls ich im Internet auf Portalen der Vogel Communications Group einschließlich deren mit ihr im Sinne der §§ 15 ff. AktG verbundenen Unternehmen geschützte Inhalte abrufe, muss ich mich mit weiteren Daten für den Zugang zu diesen Inhalten registrieren. Im Gegenzug für diesen gebührenlosen Zugang zu redaktionellen Inhalten dürfen meine Daten im Sinne dieser Einwilligung für die hier genannten Zwecke verwendet werden. Dies gilt nicht für den Datenabgleich zu Marketingzwecken.
Recht auf Widerruf
Mir ist bewusst, dass ich diese Einwilligung jederzeit für die Zukunft widerrufen kann. Durch meinen Widerruf wird die Rechtmäßigkeit der aufgrund meiner Einwilligung bis zum Widerruf erfolgten Verarbeitung nicht berührt. Um meinen Widerruf zu erklären, kann ich als eine Möglichkeit das unter https://contact.vogel.de abrufbare Kontaktformular nutzen. Sofern ich einzelne von mir abonnierte Newsletter nicht mehr erhalten möchte, kann ich darüber hinaus auch den am Ende eines Newsletters eingebundenen Abmeldelink anklicken. Weitere Informationen zu meinem Widerrufsrecht und dessen Ausübung sowie zu den Folgen meines Widerrufs finde ich in der Datenschutzerklärung, Abschnitt Redaktionelle Newsletter.
Momentan laufen hierzu Versuche in Hörsälen der TU Berlin. CO2-Messgeräte senden dabei ihre Daten an eine Software in der Cloud, die die CO2-Dosis berechnet. Darauf aufbauend könnte z. B. eine Smartphone-App auf diese Daten zugreifen und für jeden Student je nach Aufenthaltsdauer und CO2-Konzentration ein persönliches Risikoprofil erstellen. In Zusammenarbeit mit dem Fachgebiet Mobile Cloud Computing von Prof. David Bermbach der TU Berlin ist aus der Studie bereits eine Webapplikation hervorgegangen.
Damit lässt sich anhand der CO2-Dosis die Anzahl der Personen berechnen, die sich bei einer infektiösen Person mit hoher Wahrscheinlichkeit anstecken werden. Alternativ lässt sich auch das Schema in Abbildung 4 nutzen. Ein wesentlicher Faktor dabei ist die Frischluftversorgung, die über die CO2-Konzentration bestimmt wird. Typische Werte sind hier:
750 ppm: sehr gute Lüftung
1.000 ppm: gute Lüftung
1.500 ppm: mäßige Lüftung
2.000 ppm: schlechte Lüftung
Für einen Arbeitstag (8 h) in einem mäßig gelüfteten Büro ergibt sich ohne Masken als Schutzmaßnahme ein situationsbedingter R-Wert von 3,7 für eine hoch ansteckende Person. Das bedeutet, dass ein hoch ansteckend Infizierter unter diesen Umständen im Durchschnitt drei bis vier weitere Personen ansteckt.
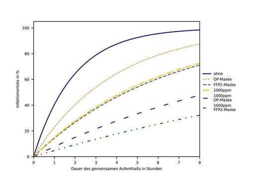
Abb.5: Vorausgesagtes Infektionsrisiko für einen Mitarbeiter in einem Großraumbüro mit zehn gesunden Personen und einer infektiösen Person, aufgetragen über einen kompletten Arbeitstag. Die Kurven entsprechen den verschiedenen, rechts genannten Maßnahmen(Kombinationen). Die Angabe „1.000ppm“ bezieht sich auf den CO2-Wert und bedeutet, dass der Raum in diesem Fall nach den Anforderungen für eine gute Lufthygiene ausreichend belüftet ist.
(Bild: Hermann-Rietschel-Institut / TU Berlin)
Für Super-Emitter, deren Anteil laut den Autoren des Berechnungstools bei 50 % der Omikron-Infizierten liegt, könnten sogar 37 weitere Personen durch einen einzigen Infizierten in dieser Situation angesteckt werden. Bei dem gewählten Beispiel „Büro“ sind so viele Kontaktpersonen allerdings unwahrscheinlich. Allein durch Lüften lässt sich in diesem Beispiel übrigens das Infektionsrisiko halbieren.
Wie sich das Infektionsrisiko über einen Bürotag hinweg verändert, zeigt auch Abbildung 5.
Tipps für bessere Raumlufthygiene
Mit dem in der Studie entwickelten mathematischen Risikomodell können nicht nur andere Forscher weiterführende Untersuchungen anstellen. Es ist auch für Fachkräfte aus der Hygiene, der Lüftungstechnik sowie dem Gebäude- oder Veranstaltungsmanagement geeignet, die Hygienekonzepte entwickeln. „Die in den Diskussionen über raumlufttechnische Anlagen und auch mobile Raumluftreiniger häufig verwendete Luftwechselrate ist dabei nicht zielführend“, erklärt Studienleiter Kriegel. Anstelle dieses Parameters schlagen die Forscher vor, den auf die Anzahl der Personen und deren Aufenthaltsdauer bezogenen Volumenstrom zu verwenden. Während die Luftwechselrate angibt, wie oft in einem bestimmten Zeitraum das gesamte Luftvolumen des Raums ausgetauscht wird, gibt dieser Volumenstrom an, wieviel unbelastete Frischluft pro Person und Zeit des Aufenthalts zugeführt wird. „Damit haben wir bei der Dimensionierung und beim Betrieb der Lüftungsanlagen schon die direkte Verbindung zur CO2-Dosis und zum vorausgesagten Infektionsrisiko, was allein mit der Luftwechselrate nicht möglich ist.“
Durch ihre Arbeit wollen die Forscher einen Beitrag zur Raumlufthygiene unabhängig von einem bestimmten Erregertyp leisten. Im Mittelpunkt stehe dabei das Messen, betont Studienleiter Kriegel. „Nur wer misst, kann auch zielgerichtet verbessern.“
Luft ist ein Lebensmittel und sollte genauso wie etwa unser Trinkwasser überwacht werden.
Prof. Martin Kriegel, Leiter des Hermann-Rietschel-Instituts, TU Berlin
Für Wasser erwarten wir strenge Kontrollen, doch die Luft im Büro oder zu Hause wird nur selten überwacht. Dabei atmen wir zehnmal mehr Luft ein als wir Wasser trinken: rund 15 kg pro Tag.
Vereinfachende Annahmen für ein praktisches Infektionsmodell
Um konkrete quantitative Empfehlungen zur Verhinderung eines Ausbruchs geben zu können – etwa zur maximalen Zahl der Personen in einem Raum oder zum notwendigen Frischluftstrom – griffen die Forscher auf Grundgleichungen zur Infektionsdynamik zurück, die bereits in den 50er- und 70er-Jahren entwickelt wurden. Darauf aufbauend etablierten sie ein vereinfachtes mathematisches Infektionsmodell, das die für ein Ausbruchsgeschehen relevanten Parameter enthält. Diese beziehen sich auf die Eigenschaften des Virus und des betrachteten Raums, aber z. B. auch auf die Tätigkeiten der Personen im Raum. „Wir haben dabei erstmals Vereinfachungen vorgenommen, die praktisch anwendbare Aussagen zur Infektionsprävention ermöglichen“, erklärt Kriegel.
Ein wesentliches Ergebnis sei die direkte Verbindung zwischen dem CO2-Gehalt in der Raumluft und dem Infektionsrisiko. Eine der vorgenommenen Vereinfachungen ist z. B., dass die Zahl der gefährdeten Personen im Raum als größer angenommen wird als die Zahl der Infektiösen – was i. d. R. zutrifft. Auf diese Weise ließ sich eine „unhandliche“ Exponentialfunktion im Modell eliminieren.