Software Viscom Die Fließgrenze und die vier Viskositätskoeffizienten von Klebstoffen
Die Software Viscom hilft bei der Berechnung mit Rotationsviskosimetern erstellter Rheogramme thixotroper Flüssigkeiten.
Anbieter zum Thema

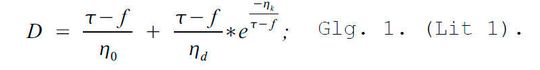
Die Fließkurven von thixotropen Flüssigkeiten sind gebogen und folgen nicht direkt einer e-Funktion sondern einer Funktion nach Gleichung 1, wenn die bekannte Zeitabhängigkeit dadurch eliminiert wird, dass die Messungen im Gleichgewicht von Strukturabbau und Strukturaufbau erfolgen.
Auswertung
Durch die Software Viscom oder Viscos, können die gemessenen D/τ-Tupel, die Fließgrenze und die 3 Viskositätskoeffizienten berechnet werden. Obwohl hier nur eine Gleichung und insgesamt 4 unbekannte Variable vorhanden sind, gelingt die Berechnung, wenn genügend Messpunkte vorhanden sind, wobei durch jeden Messpunkt eine Gleichung ähnlich wie Gleichung 1 entsteht. Mit entsprechenden Ausgleichsrechnungen und der Korrelation von berechneten zu gemessenen D-Werten ist dies nicht nur theoretisch sondern auch praktisch möglich.
Voraussetzung
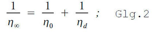
Die Messung muss tatsächlich im Gleichgewicht von Struktur-Abbau und -Aufbau erfolgen. Bei größer werdendem τ geht der Exponent schnell gegen Null und der e-Ausdruck gegen 1. Man erhält dadurch die Gleichung für die die Bewegungsviskosität(Glg.2) als 4. Viskositätskoeffizienten.
Das Gleichgewicht
Es ist davon auszugehen, dass in einem Gleichgewicht eine Beziehung zwischen der Ruhe- und der Bewegungs-Viskosität existiert. In der Ruhe-Viskosität sind ein Teil der Makromoleküle von Polymeren verhängt und in der Bewegungsviskosität sind die Verhängungen gelöst.
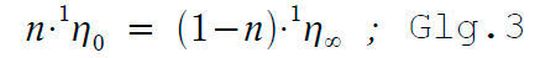
Im Gleichgewicht während des Schervorganges muss die Kraft der verhängten Polymere gleich groß sein wie die Kraft der nicht verhängten Polymere, die zusammen der angelegten Scherkraft entgegen wirken. Bei Verharkungen ist zweifellos die Summe der verhängten und nichtverhängten Polymeranteile konstant. Dadurch lässt sich die Gleichung 3 für das Gleichgewicht formulieren:
In Gleichung 3 ist n die Anzahl der verhängten und (1-n)die Anzahl der nicht verhängten Polymere. Wird Gleichung 3 nach n aufgelöst so ist n zusätzlich eine Zahl, die das Gleichgewicht für eine D/τ- Messung beschreibt.
Strukturgleichgewicht
Ein Gleichgewicht stellt sich immer dann ein, wenn die äußeren Bedingungen konstant sind. Im Fall von Viskositätsmessungen stellt sich bei den vorherrschenden Bedingungen über kurz oder lang ein Gleichgewicht als die so genannte Struktur ein. Eine Störung des Strukturgleichgewichtes durch Temperatur oder durch starke und länger andauernde Scherung bewirkt kein besseres Struktur- Gleichgewicht, sondern verschiebt es lediglich und es dauert dann meist erheblich längere Zeit, um wieder in das alte Gleichgewicht zurück zu kehren.
Gleichgewicht während einer Messung
Wenn die Messung mit einer konstanten Erhöhung der Schubspannung und mit einem Kegel/Platte-System gemacht wird, dann ist das Gleichgewicht abhängig von der Rate der Erhöhung der Schubspannung. Ist die Rate zu hoch, dann läuft das Gleichgewicht aus dem Ruder. Auch wenn die Rate einer Verminderung der Schubspannung zu hoch ist, dann läuft ebenfalls das Gleichgewicht aus dem Ruder. Bei der Verminderung der Schubspannung läuft das Gleichgewicht viel eher aus dem Ruder. Das bedeutet, dass eine sukzessive Erhöhung der Schubspannung zu bevorzugen ist. In der Praxis sind demnach die so genannten Aufwärtsmessungen mit möglichst geringen Erhöhungsraten der Schubspannungen zu bevorzugen.
Kontrolle des Gleichgewichtes
Direkt an einem D/τ-Rheogramm mit einem kontinuierlichem Verlauf kann man von einem konstanten Gleichgewicht ausgehen. Die Software Viscos kann die Rheogramme in dezimaler und doppelt logarithmischer Darstellung anzeigen und bei der Berechnung berücksichtigen, wobei die diskontinuierlichen Bereiche nicht verwendet werden. Die Software Viscom arbeitet wie Viscos, kann aber keine Rheogramme graphisch darstellen. Auswahl des Messgerätes Die Messgeräte müssen mit einer Kegel/Platte Einrichtung arbeiten. Es sind Aufwärts-Kurven zu erstellen. Die Rate der Schubspannungs- Erhöhung soll vom Anwender einstellbar sein. Das Gerät muss in der Lage sein, die D/τ-Mess-Tupel als *.TXT-Dateien aus zu geben. Viscom und Viscos können bis zu 500 D/τ-Tupel verarbeiten. Ergebnisse der Berechnungen Aus den Aufwärtsmessungen werden mit der Software Viscos oder Viscom die Fließgrenze und die drei unbekannten Variablen der Gleichung 1 berechnet und als *.TXT-Datei ausgegeben.
BITTE BEACHTEN SIE DIE INSTALLATIONSHINWEISE (Hinweis: Zum Entpacken des Ordners benötigen Sie ein entsprechendes Entpacker-Programm, beispielsweise 7-zip.)
* *G. Simon, Entwicklung und Betrieb von Spezialsoftware, 28832 Achim
(ID:44099806)




